
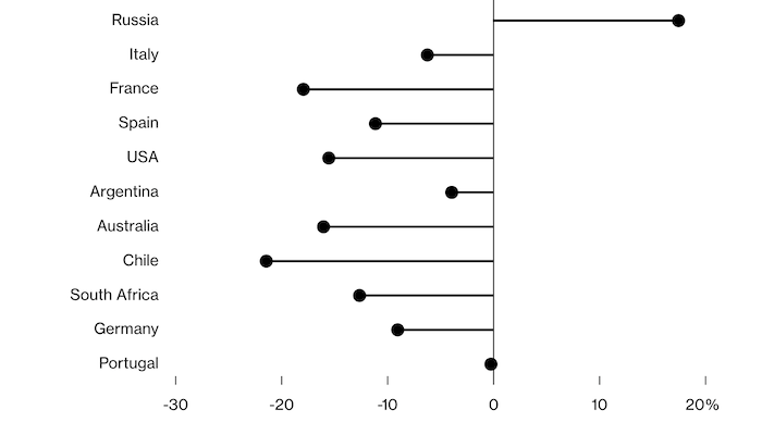
Как изменился объем производства вина в России и в мире за последние пять лет. Источник: Bloomberg
По данным Международной организации виноградарства и виноделия (OIV), межправительственного органа, отслеживающего мировые стандарты производства вина, с февраля 2022 года производство вина в России подскочило на четверть. Виноделие — это небольшой сектор российской экономики, но этот бизнес является частью более широких усилий, предпринимаемых Россией для достижения экономической самодостаточности и снижения последствий санкционного давления.
Растущее потребление
Производство находится на самом высоком уровне за десятилетие, при этом более трети российского вина производится в Краснодарском крае. Внутреннее потребление также возросло, достигнув в 2024 году 8,1 млн гектолитров, или более 1 млрд бутылок.
В то же время производство водки в прошлом году упало на 26,3% до 7,6 млн гектолитров, что является самым низким уровнем почти за десятилетие. Этого все еще достаточно, чтобы каждый россиянин в стране, включая детей, выпивал по семь бутылок в год.
Но рост продаж отечественного вина для Москвы имеет двойственное значение. Он также отражает влияние санкций, из-за которых многие западные вина исчезли с полок супермаркетов и из меню ресторанов. В прошлом году Россия повысила пошлины на вина из «недружественных» стран — списка, составленного в 2021 году, в который входят США и некоторые из ведущих европейских производителей вина, — удвоив существующие сборы до 25%.
Это вытеснило популярные у россиян импортные вина, такие как Просекко или Винью Верде, в более дорогую ценовую категорию и заставило потребителей обратиться к отечественным альтернативам, говорит Ярослав Гурьев, финалист московского конкурса сомелье 2023 года. По данным РИА Новости, в первом квартале 2025 года импорт сократился вдвое.
Компания Simple, один из крупнейших импортеров алкоголя в стране, сообщила Bloomberg News, что по всем внутренним каналам продаж российское вино теперь занимает второе место после итальянского.
«Российские вина теперь можно найти там, где их раньше не было, — говорит Михаил Николаев, главный винодел семейной фермы и винодельни „Николаев и сыновья“ в Краснодарском крае. — Узнаваемость растет».
По словам Николаева, главное преимущество заключается в том, что многие российские вина по стилю похожи на вина из ведущих регионов, таких как Северная Италия или Франция, но часто продаются по более низкой цене. По его словам, государственная политика в последние годы также способствовала повышению узнаваемости отечественного вина. «Предпочитают ли их люди импортным? Я этого пока не чувствую», — добавил он.
Поддержка на государственном уровне
Феномен «винного патриотизма» подпитывает эти изменения, говорит Денис Руденко, член Российской ассоциации сомелье. Некоторые потребители теперь избегают вин из стран, у которых напряженные отношения с Россией, а другие пьют исключительно отечественные вина в качестве акта политической лояльности, сказал Руденко.
Чтобы еще больше стимулировать продажи, правительство ввело квоту «Российская винная полка», требующую, чтобы не менее 20% вин, продаваемых в рознице, кафе и ресторанах, были произведены внутри страны. Некоторые политики выступали за увеличение квоты до 30-40%. Ранее в этом году Путин также распорядился о регуляторных реформах, которые упростят изменение целевого назначения земель под виноградники.
Губернатор Севастополя Развожаев во время встречи с Путиным сообщил, что в этом году при поддержке федерального правительства было выделено 738 млн рублей ($9,5 млн) на расширение виноградников в севастопольском регионе, и добавил, что выделяются дополнительные средства на строительство новых виноделен, посадку виноградников и развитие туризма.
Военная экономика России, которая стимулировала производство в военно-связанных секторах и первоначально привела к рекордному росту заработной платы, также сыграла свою роль в успехе местных виноделов. Однако в последнее время это настроение сменилось опасениями, что экономика может скатиться в рецессию. Кроме того, любое снятие западных санкций и открытие рынка для большего количества импортных вин может стать потрясением для отечественных производителей. По словам Руденко, особенно за пределами крупных городов все еще существует «недостаток доверия и представление о том, что в России невозможно сделать хорошее вино».
Подготовлено Profinance.ru по материалам Bloomberg
MarketSnapshot - ProFinance.Ru в Telegram